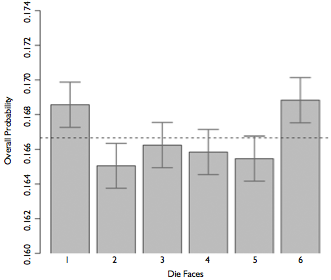
class: center, middle, inverse, title-slide # Inference for Two Way Tables ## IS381 - Statistics and Probability with R ### Jason Bryer, Ph.D. ### April 13, 2026 --- # One Minute Paper Results .pull-left[ **What was the most important thing you learned during this class?** <img src="11-Two_way_tables_files/figure-html/unnamed-chunk-2-1.png" alt="" style="display: block; margin: auto;" /> ] .pull-right[ **What important question remains unanswered for you?** <img src="11-Two_way_tables_files/figure-html/unnamed-chunk-3-1.png" alt="" style="display: block; margin: auto;" /> ] --- # Weldon's dice * Walter Frank Raphael Weldon (1860 - 1906), was an English evolutionary biologist and a founder of biometry. He was the joint founding editor of Biometrika, with Francis Galton and Karl Pearson. * In 1894, he rolled 12 dice 26,306 times, and recorded the number of 5s or 6s (which he considered to be a success). * It was observed that 5s or 6s occurred more often than expected, and Pearson hypothesized that this was probably due to the construction of the dice. Most inexpensive dice have hollowed-out pips, and since opposite sides add to 7, the face with 6 pips is lighter than its opposing face, which has only 1 pip. --- # Labby's dice In 2009, Zacariah Labby (U of Chicago), repeated Weldon’s experiment using a homemade dice-throwing, pip counting machine. http://www.youtube.com/watch?v=95EErdouO2w * The rolling-imaging process took about 20 seconds per roll. * Each day there were ∼150 images to process manually. * At this rate Weldon’s experiment was repeated in a little more than six full days. .center[] --- # Summarizing Labby's results The table below shows the observed and expected counts from Labby's experiment. | Outcome | Observed | Expected | |-----------|-------------|-------------| | 1 | 53,222 | 52,612 | | 2 | 52,118 | 52,612 | | 3 | 52,465 | 52,612 | | 4 | 52,338 | 52,612 | | 5 | 52,244 | 52,612 | | 6 | 53,285 | 52,612 | | Total | 315,672 | 315,672 | --- # Setting the hypotheses Do these data provide convincing evidence of an inconsistency between the observed and expected counts? * `\(H_0\)`: There is no inconsistency between the observed and the expected counts. The observed counts follow the same distribution as the expected counts. * `\(H_A\)`: There is an inconsistency between the observed and the expected counts. The observed counts **do not** follow the same distribution as the expected counts. There is a bias in which side comes up on the roll of a die. --- # Evaluating the hypotheses * To evaluate these hypotheses, we quantify how different the observed counts are from the expected counts. * Large deviations from what would be expected based on sampling variation (chance) alone provide strong evidence for the alternative hypothesis. * This is called a *goodness of fit* test since we're evaluating how well the observed data fit the expected distribution. --- # Anatomy of a test statistic * The general form of a test statistic is: `$$\frac{\text{point estimate} - \text{null value}}{\text{SE of point estimate}}$$` * This construction is based on 1. identifying the difference between a point estimate and an expected value if the null hypothesis was true, and 2. standardizing that difference using the standard error of the point estimate. * These two ideas will help in the construction of an appropriate test statistic for count data. --- # Chi-Squared When dealing with counts and investigating how far the observed counts are from the expected counts, we use a new test statistic called the chi-square ( `\(\chi^2\)` ) statistic. .pull-left[ `$$\chi^2 = \sum_{i = 1}^{k} \frac{(O - E)^2}{E}$$` where k = total number of cells ] .pull-right[ | Outcome | Observed | Expected | `\(\frac{(O - E)^2}{E}\)` |-----------|-------------|-------------|-----------------------| | 1 | 53,222 | 52,612 | `\(\frac{(53,222 - 52,612)^2}{52,612} = 7.07\)` | | 2 | 52,118 | 52,612 | `\(\frac{(52,118 - 52,612)^2}{52,612} = 4.64\)` | | 3 | 52,465 | 52,612 | `\(\frac{(52,465 - 52,612)^2}{52,612} = 0.41\)` | | 4 | 52,338 | 52,612 | `\(\frac{(52,338 - 52,612)^2}{52,612} = 1.43\)` | | 5 | 52,244 | 52,612 | `\(\frac{(52,244 - 52,612)^2}{52,612} = 2.57\)` | | 6 | 53,285 | 52,612 | `\(\frac{(53,285 - 52,612)^2}{52,612} = 8.61\)` | | Total | 315,672 | 315,672 | 24.73 | ] --- # Chi-Squared Distribution Squaring the difference between the observed and the expected outcome does two things: * Any standardized difference that is squared will now be positive. * Differences that already looked unusual will become much larger after being squared. In order to determine if the `\(\chi^2\)` statistic we calculated is considered unusually high or not we need to first describe its distribution. * The chi-square distribution has just one parameter called **degrees of freedom (df)**, which influences the shape, center, and spread of the distribution. <img src="11-Two_way_tables_files/figure-html/unnamed-chunk-4-1.png" alt="" style="display: block; margin: auto;" /> --- # Degrees of freedom for a goodness of fit test When conducting a goodness of fit test to evaluate how well the observed data follow an expected distribution, the degrees of freedom are calculated as the number of cells (*k*) minus 1. `$$df = k - 1$$` For dice outcomes, `\(k = 6\)`, therefore `\(df = 6 - 1 = 5\)` <img src="11-Two_way_tables_files/figure-html/unnamed-chunk-5-1.png" alt="" style="display: block; margin: auto;" /> p-value = `\(P(\chi^2_{df = 5} > 24.67)\)` is less than 0.001 --- # Turns out... .font140[ * The 1-6 axis is consistently shorter than the other two (2-5 and 3-4), thereby supporting the hypothesis that the faces with one and six pips are larger than the other faces. * Pearson's claim that 5s and 6s appear more often due to the carved-out pips is not supported by these data. * Dice used in casinos have flush faces, where the pips are filled in with a plastic of the same density as the surrounding material and are precisely balanced. ] --- # Recap: p-value for a chi-square test * The p-value for a chi-square test is defined as the tail area **above** the calculated test statistic. * This is because the test statistic is always positive, and a higher test statistic means a stronger deviation from the null hypothesis. <img src="11-Two_way_tables_files/figure-html/unnamed-chunk-6-1.png" alt="" style="display: block; margin: auto;" /> --- # Independence Between Groups .pull-left[ Assume we have a population of 100,000 where groups A and B are independent with `\(p_A = .55\)` and `\(p_B = .6\)` and `\(n_A = 99,000\)` (99% of the population) and `\(n_B = 1,000\)` (1% of the population). We can sample from the population (that includes groups A and B) and from group B of sample sizes of 1,000 and 100, respectively. We can also calculate `\(\hat{p}\)` for group A independent of B. ``` r propA <- .55 # Proportion for group A propB <- .6 # Proportion for group B pop.n <- 100000 # Population size sampleA.n <- 1000 sampleB.n <- 100 ``` ] .pull-right[.code90[ ``` r pop <- data.frame( group = c(rep('A', pop.n * 0.99), rep('B', pop.n * 0.01) ), response = c( sample(c(1,0), size = pop.n * 0.99, prob = c(propA, 1 - propA), replace = TRUE), sample(c(1,0), size = pop.n * 0.01, prob = c(propB, 1 - propB), replace = TRUE) ) ) sampA <- pop[sample(nrow(pop), size = sampleA.n),] sampB <- pop[sample(which(pop$group == 'B'), size = sampleB.n),] ``` ] ] --- # Independence Between Groups (cont.) `\(\hat{p}\)` for the population sample ``` r mean(sampA$response) ``` ``` ## [1] 0.551 ``` `\(\hat{p}\)` for the population sample, excluding group B ``` r mean(sampA[sampA$group == 'A',]$response) ``` ``` ## [1] 0.5488419 ``` `\(\hat{p}\)` for group B sample ``` r mean(sampB$response) ``` ``` ## [1] 0.62 ``` --- # Independence Between Groups (cont.) <img src="11-Two_way_tables_files/figure-html/unnamed-chunk-13-1.png" alt="" style="display: block; margin: auto;" /> --- class: left, font140 # One Minute Paper .pull-left[ 1. What was the most important thing you learned during this class? 2. What important question remains unanswered for you? ] .pull-right[ <img src="11-Two_way_tables_files/figure-html/unnamed-chunk-14-1.png" alt="" style="display: block; margin: auto;" /> ] https://forms.gle/bz8GvYWfKdMggRv38